Tierseuchenkasse von Mecklenburg-Vorpommern
– Anstalt des öffentlichen Rechts –
Menü
Meldung & Beitrag
Meldung
Tierhalter
Online
Druckversion
Erstanmeldung
Tierkaufleute
Druckversion
Beitrag
Beiträge für 2025
Beiträge für 2024
Beiträge für 2023
Beiträge für 2022
Beiträge Tierkaufleute für 2025
Beiträge Tierkaufleute für 2024
Beiträge Tierkaufleute für 2023
Beiträge Tierkaufleute für 2022
Rechtsgrundlagen
Fragen & Antworten
Kontakt
Beihilfe
Antrag
Online
Druckversion 2025
De-minimis
Antrag De-minimis
Merkblatt De-minimis
Abrechnung TV Heide
Genotypisierung
Rechtsgrundlagen
Fragen & Antworten
Kontakt
Entschädigung
Antrag auf Entschädigung
Antrag auf Kostenerstattung
Antrag auf Beihilfe R+D
Rechtsgrundlagen
Schätzung
Schätzersatzung
Schätzer
Schätzgrundsätze
Kontakt
Tiergesundheitsdienst
für Rinder
Informationen des RGD
Aufgaben des RGD
Programme des RGD
Kontakt
für Schweine
Informationen des SGD
Aufgaben des SGD
Programme des SGD
Kontakt
für Bienen
Informationen des BGD
Aufgaben des BGD
Programme des BGD
Kontakt
für Schafe und Ziegen
Informationen
Aufgaben
Programme
Kontakt
Archiv
Über uns
Mitteilungen
Sitz der Geschäftsstelle
Mitarbeiter
Verwaltungsrat
Rechtsgrundlagen
Archiv
Kontakt
Online-Service
Vordrucke & Formulare
Rechtsgrundlagen
Beihilfesatzung
1. Änderung der Beihilfesatzung 2018 bis 2020
Beihilfesatzung 2013
Beihilfesatzung 2014
Beihilfesatzung 2014 (1. Änderung)
Beihilfesatzung 2015
Beihilfesatzung 2016
Beihilfesatzung 2017
Beihilfesatzung 2018-2020
Beihilfesatzung 2021
Beihilfesatzung 2022
Beihilfesatzung 2023-2024
De-Minimis-Beihilfen
Erläuterungen zu De-Minimis
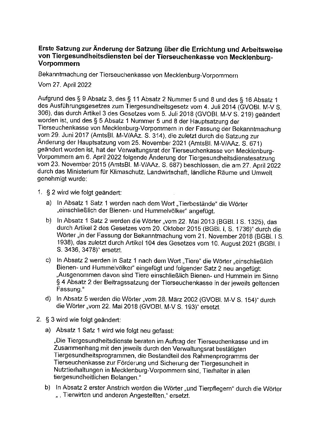
Erste Änderung Tiergesundheitsdienstesatzung
Merkblatt De-minimis-Beihilfen
Tiergesundheitsdienstesatzung
Leistungssatzung
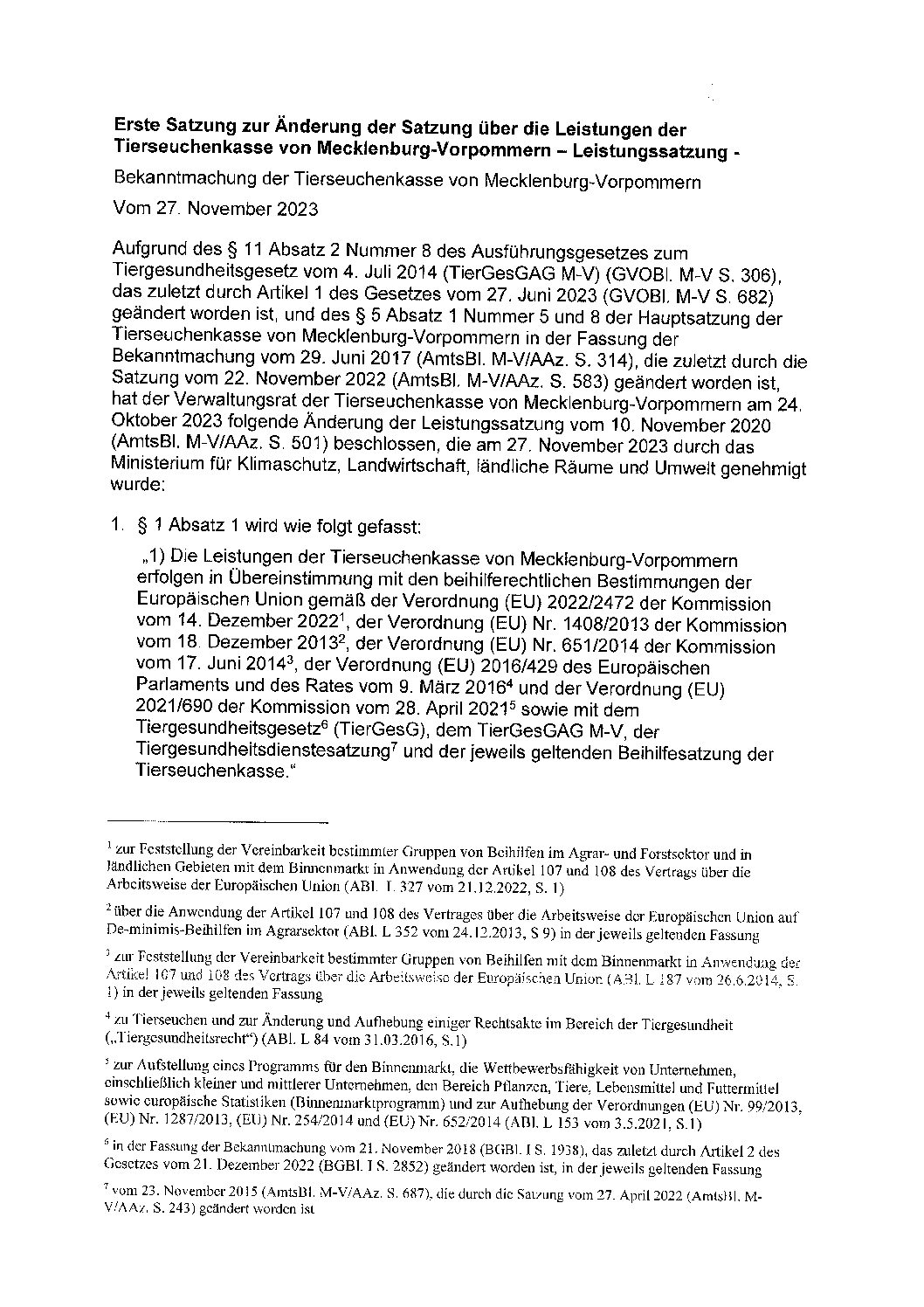
Erste Satzung zur Änderung der Leistungssatzung
Leistungssatzung
Leistungssatzung 2017
Zweite Satzung zur Änderung der Leistungssatzung
Cookie Consent mit Real Cookie Banner